1、 确定滚珠丝杠副的导程
根据电机额定转速和X向滑板最大速度,计算丝杠导程。
X向运动的驱动电机选择松下MDMA152P1V,电机最高转速为4500rpm。电机与滚珠丝杆通过联轴器连接,传动比为0.99。X向最大运动速度24m/min,即24000mm/min。
则丝杠导程为

实际取Ph=10mm,可满足速度要求。
2 、滚珠丝杠副的载荷及转速计算
滚动导轨承重时的滑动摩擦系数最大为0.004,静摩擦系数与摩擦系数差别不大,此处计算取静摩擦系数为0.006。则导轨静摩擦力:

式中:
M —工件及工作台质量, M为500kg。
f — 导轨滑块密封阻力,按4个滑块,每个滑块密封阻力5N。
由于该设备主要用于检测,丝杠工作时不受切削力,检测运动接近匀速,其阻力主要来自于导轨、滑块的摩擦力。则有:

滚珠丝杠副的当量载荷:

滚珠丝杠副的当量转速:

3 、滚珠丝杠副预期额定动载荷
3.1、按滚珠丝杠副的预期工作时间计算:

式中:
nm — 当量转速,

Lh — 预期工作时间,测试机床选择15000小时
f W — 负荷系数,平稳无冲击选择 fW =1
fa — 精度系数,2级精度选择 f a =1
fc — 可靠性系数,一般选择 fc =1
3.2 按滚珠丝杠副的预期运行距离计算:
式中:
Ls — 预期运行距离,一般选择 Ls = 24X103m
3.3 、按滚珠丝杠副的预加最大轴向负载计算:

式中:
fe — 预加负荷系数,轻预载时,选择fe = 6.7
fmax — 丝杠副最大载荷
4 、估算滚珠丝杠的最大允许轴向变形量dm
* 重复定位精度
X向运动的重复定位精度要求为0.03mm,则

5 、估计算滚珠丝杠副的螺纹底X
5.1 、根据X向运动行程为1000mm,可计算出两个固定支承的最大距离:
L» (1.1~1.2) ´l + (10~14) ´Ph= 1.2´1000+14´10 =1340mm
5.2 按丝杠安装方式为轴向两端固定,则有丝杠螺纹底X:

式中:
F0 — 导轨静摩擦力,F0=49.4N
L — 滚珠螺母至滚珠丝杠固定端支承的最大距离,L = 1340mm 则有

6 、导程精度的选择
根据X向运动的定位精度要求达到0.08mm/1000mm,则任意300mm。长度的导程精度为0.024mm。
7 、确定滚珠丝杠副规格代号
按照丝杠Ph、d2m、Cam选择SFS6310滚珠丝杆,精度等级2级。丝杆基本导程Ph=10mm,丝杠外X d=61mm,螺母外径90mm,珠径6.35mm,额定动载荷Ca =48740N >Cam,额定静载荷Cao=156912N。
8 、电机选择
条件:选择伺服电机驱动,伺服电机选取松下MINAS A4系列MDMA152P1*型中惯量电机,其功率:1.5KW;额定转矩:7.15 N.m;电机惯量JM:0.00123 Kg.m2
X向运动工件及工作台质量估计最大值约1500Kg。
8.1 外部负荷的转动惯量:丝杆部分的转动惯量:

外部负荷的负荷转动惯量:

则有:

加在电机上的转动惯量:

8.2 、外部负荷产生的摩擦扭矩:

Ph— 滚珠丝杆副的导程
h— 未预紧的滚珠丝杆副的效率(2级精度h=0.9)
F— 外加轴向载荷,含导轨摩擦力,其中含切削力为0
8.3 、预紧力产生的摩擦扭矩:

式中:
Fp— 滚珠丝杆副间的预紧力,Fp = F max/3 = 49.4/31 = 6.47N
8.4 、支承轴承产生的摩擦扭矩:
选择深沟球轴承,轴承代号:6207,查轴承样本可得摩擦力矩:Tb1=0.23N.m。
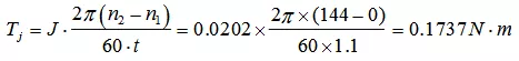
1.8.5 加速度产生的负荷扭矩:
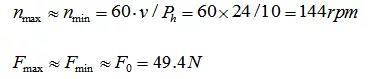
根据设计要求可知:X向工作台运动速度为v=24m/min,对应电机转速n2=144rpm,最大加速度为a=40mm/s2,则工作台速度从0升至25mm/s所需时间:

当电机转速从n1=0升至n2=144rpm时,其负荷扭矩

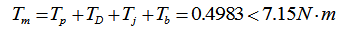
8.6、电机总扭矩:

所选择电机额定扭矩为7.15N.m,大于计算电机总扭矩3倍以上。所选择电机扭矩符合要求。